전자광학

입체각 (solid angle)

high-class 2021. 3. 12. 00:02

앞으로 공부를 하다보면 입체각이란 개념을 자주 접하게 됩니다. 입체각이라는 개념이 머리속으로는 상상이 잘 되지 않습니다만 이번 포스팅을 통해 아주 쉽게 설명드리겠습니다. 

 

입체각(solid angle)이란 우리에게 익숙한 2차원의 각(angle)을 3차원으로 확장한 개념입니다.

평면 상의 각이라 함은 교차하는 두 직선이 서로에 대해 벌어진 정도를 나타내는 단위입니다. 보통 단위로는 도(degree)를 쓰지만 수학에서는 라디안(radian)을 주로 씁니다.

 

1 라디안은 "원의 반지름과 호의 길이가 같아지는 중심각의 크기"로 정의하는 무차원의 단위입니다. 호도라고도 하며 rad로 줄여 쓰기도 합니다.

아래 그림을 봅시다.

정의에 따르면 윗 그림의 반지름이 1인 단위원(unit circle)에서 호의 길이가 α가 되는 부채꼴(회색)의 중심각의 크기가 α 라디안입니다. 즉, 중심각이 α 라디안이면 호의 길이는 α 가 됩니다.

아주 쉽습니다. 반지름이 1인 원의 둘레는 2π이므로 원의 중심각(360도)은 2π 라디안이 됨을 알 수 있습니다. 즉, 360도=2π 라디안이므로 1라디안은 360도/2π = 약 57.2958 도가 됩니다. 

그렇다면 반지름이 1인 부채꼴과 반지름이 r인 부채꼴의 호의 길이 비를 이용하면

반지름이 r이고 호의 길이가 s인 부채꼴의 중심각 α 라디안은 아래와 같다. ($1 : \alpha = r : s$)

이제 이러한 사실을 입체각으로 확장해봅시다.

입체각의 단위는 스테라디안(steradian; sr)이고 1스테라디안은 "구의 반지름의 제곱과 구 표면상의 폐곡면의 넓이가 같아지는 중심각의 크기"로 정의합니다.

 

원에서는 반지름이었던 것이 => 구에서는 반지름의 제곱으로 

원에서는 호의 길이였던 것이 => 구에서는 구 표면상의 폐곡면으로 바뀌었군요. 뭔가 매칭이 됩니다.

그렇다면 구 표면상의 폐곡면이 뭘까요? 

아래 그림을 봅시다. 구 표면상의 폐곡면은 spherical cap이라고도 하는데요,

unit sphere 그림에서 구 표면상에 ω에 해당하는 넓이를 의미합니다. (흰색 원; 실제로는 원이 아니라 모자처럼 굽어있습니다.)

 

중심각이 ω 스테라디안(sr) 이라는 것은 윗 그림처럼 반지름이 1인 단위 구 표면상의 폐곡면의 넓이(흰색)가 ω가 될 때 구의 중심에 있는 원뿔의 입체각은 ω 스테라디안(sr)의 크기를 가진다고 합니다.

반지름이 1인 구의 넒이는 4π 이므로 구의 중심 입체각은 4π 스테라디안 이라고 할 수 있겠죠.

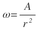
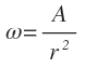
마찬가지로 반지름이 1인 구와 r인 구의 넓이 비를 이용하면, 반지름 r인 구의 중심 입체각이 만드는 폐곡면의 넓이가 A 일때, 그 중심각 ω는 아래와 같이 구할 수 있습니다.

라디안을 계산할때의 형태와 너무 유사합니다. 길이가 면적으로 차원이 확장된 개념과 정확히 일치 합니다.

Radian vs. Steradian
라디안
스테라디안

 

중심 입체각이 매우 작을때는 중심 입체각이 만들어 내는 구표면적이 원뿔의 밑면 넓이로 수렴합니다. 따라서 아래 그림과 같이 카메라로 들어오는 빛의 입체각은 매우 작기 때문에 구 표면 상의 넓이를 구하는 대신 렌즈의 넓이를 이용하면 중심 입체각 Ω를 근사하여 계산할 수 있습니다.

 

어떠셨나요? 입체각에 대해서 잘 이해하셨나요? 

본 포스팅이 많은 도움이 되셨으면 합니다. 

 

다음 포스팅에서는 학습한 입체각의 개념을 이용하여 복사량에 대한 공부를 해볼까 합니다.

읽어주셔서 감사합니다.

 

[출처] 직접작성 (last updated: 2021.03.12)

[참고자료]

https://en.wikipedia.org/wiki/Solid_angle

블로그의 모든 포스팅은 직접 공부해서 작성한 글입니다.
퍼가실 때는 댓글을 남겨주세요.
더 유익한 포스팅을 작성하는데 큰 힘이 됩니다.