앞선 흑체복사 포스팅에서 얘기했듯이 온도를 가진 모든 물체는 에너지를 방사합니다. 또한 흑체가 아닌 회색체, 백체는 입사한 빛 에너지를 반사합니다.
즉, 우리가 물체를 볼 수 있는 이유는 방사(radiation) 혹은 반사(reflection)한 빛이 우리 눈으로 들어오기 때문입니다. 여기서 방사 혹은 반사된 에너지를 복사 에너지라고 합니다.
그렇다면 이러한 복사 에너지는 어떻게 측정하고, 그 단위는 어떻게 될까요?
이 것을 radiometry라고 합니다. 오늘 주제는 radiometry 입니다.
Radiometry는 딱히 우리말로 표현하자면 복사량 측정법? 이 정도로 나타낼 수 있는데 그냥 Radiometry 라고 부르는게 내용과 더 잘 어울리겠네요. 굳이 번역하자면 Geometry를 기하학이라고 하듯이 Radiometry는 복사학? 뭐 어색하긴 해도 그런 뜻으로 이해하면 됩니다.
Radiometry는 복사 에너지를 계산 또는 측정 하는 분야라고 볼 수 있습니다. 아래 그림과 같이 태양이 내뿜는 복사에너지, 지구 표면 한 지점으로 들어오는 복사 에너지, 그리고 지구 표면에서 반사되어 센서로 들어오는 에너지는 어떻게 계산할 수 있을까요?

Radiometry를 이해하기 위해 기억해야 할 단위는 복사 휘도와 복사 조도입니다. 우리말로 하면 휘도가 뭐냐, 조도가 뭐냐 헷갈리는데 그냥 radiance, irradiance로 기억하는 편이 나중을 위해서 더 낫습니다.
일단 기억합시다. radiance, irradiance.
Radiance, Irradiance 의 복잡한 의미를 파악하기 전에 반드시 알아야 할 개념이 Flux와 입체각 입니다. 입체각은 매우 중요한 수학적 개념이므로 다음 포스팅을 참고하시기 바랍니다.
입체각 (solid angle)
앞으로 공부를 하다보면 입체각이란 개념을 자주 접하게 됩니다. 입체각이라는 개념이 머리속으로는 상상이 잘 되지 않습니다만 이번 포스팅을 통해 아주 쉽게 설명드리겠습니다. 입체각(solid a
mkpark.tistory.com
Flux
우선, Flux (선속)이라 함은 공간에서의 시간에 따른 물리적 값의 흐름을 뜻합니다. (위키피디아)
쉬운 예로, 어느 한 순간 나비채를 통과하여 움직이는 공기의 양을 생각해봅시다. 바람의 속도가 빠르면 나비채를 통과하는 선속도 커집니다. 만약 나비채가 커지면 바람의 속도는 같아도 선속의 크기는 커지겠죠. 중요한 것은 바람이 부는 방향을 마주보아야 선속이 커진다는 점입니다.
복사량에서 flux 역시 에너지 개념으로 생각하면 일정 시간, 공간을 통과하는 에너지의 흐름 정도로 이해하고 넘어갑시다.

Radiance
자! 이제 radiance를 이해할 준비가 되었습니다.
우선 위키피디아에 나와 있는 정의를 살펴 보겠습니다.
In radiometry, radiance is the radiant flux emitted, reflected, transmitted or received by a given surface, per unit solid angle per unit projected area.
의미를 파악해보면,
"radiometry에서 말하는 radiance란 방사, 반사, 투과되거나 표면으로 입사하는 단위 면적, 단위 solid angle 당 radiant flux 이다."
천천히 하나씩 살펴보겠습니다.
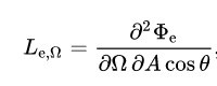
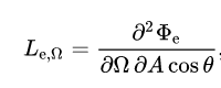
Radiance는 단위 면적과 단위 solid angle로 나오는 복사량(선속)인데 이 값은 스스로 방사했거나, 또는 도달한 에너지를 반사하거나 투과한 복사량입니다. 수학적으로는 다음과 같이 정의합니다.

복사선속 $\phi_e$을 입체각 $\omega$과 해당 방향으로의 투영면적 $Acos{\theta}$으로 미분한 값이고 단위는 $\cfrac{Watt}{m^2·sr}$ 입니다. 단위를 보면 복사선속(Watt)을 단위면적($m^2$)과 입체각 ($sr$)으로 나눈 값임을 알 수 있죠. 따라서 radiance는 한 지점에서 특정 한 방향으로 내보내는 복사량으로 기억합시다.
Irradiance
radiance를 이해했으면 irradiance는 더 쉽습니다. 위키피디아 정의를 보겠습니다.
"In radiometry, irradiance is the radiant flux (power) received by a surface per unit area."
Radiometry에서 irradiance란 단위 면적이 받는 radiant flux 입니다.
이제 바로 이해가 됩니다.
수학적으로는 다음과 같이 정의합니다.

복사선속($\phi$)을 단위 면적($A$)으로 미분한 값이고 단위는 $Watt/m^2$ 입니다.
radiance와는 달리 irradiance는 모든 방향에서 단위 면적을 가진 한 지점이 받는 복사량으로 기억합시다.
여전히 이해가 쉽지 않을 것입니다. 그림을 보고 이해해보겠습니다.
아래 그림은 위에서 살펴본 Flux와 Irradiance, Radiance의 개념을 잘 설명해줍니다. Flux는 해당 면으로 들어오는 전자기 복사량, Irradiance는 모든 방향에서 단위 면적으로 입사하는 복사량, radiance는 한 지점에서 특정 방향으로의 투영면적당, 단위 입체각당 복사량 이라고 정리할 수 있습니다.

보통 한 지점으로 들어온 복사량을 계산할 때, irradiance를 사용합니다. 예를 들어 아스팔트 도로면이 받는 태양 복사에너지의 양을 계산할 때를 생각해봅시다. 모든 방향에서 들어온 단위 면적당의 복사량인 irradiance에 아스팔트 도로 면적을 곱하면 전체 아스팔트 도로가 태양 에너지를 얼마나 받았는지 판단할 수 있습니다.
반면, 한 지점에서 내보낸 복사량을 특정 지점에서 관찰할 때, radiance를 사용합니다. 카메라로 불꽃을 찍거나 태양 빛을 강하게 반사하는 강 표면을 눈으로 볼 때 우리가 느끼는 복사 에너지의 양은 radiance 단위로 계산합니다.
정리하면,
Irradiance는 특정 지점이 받은 에너지를 계산할 때,
Radiance는 특정 지점에서 특정 방향으로 나오는 에너지를 계산할 때,
주로 사용합니다.
지금까지 Radiometry에 대해 알아봤습니다. Radiometry는 모든 파장대의 복사 에너지를 계산할 때 쓰는 내용입니다.
다음 포스팅은 Photometry에 대한 내용을 공부해 보겠습니다. Photometry는 모든 파장대의 복사 에너지를 계산하는 것과는 달리 사람 눈이 인지하는 밝기를 계측하는 분야로 보면 됩니다.
읽어주셔서 감사합니다.
[출처] 직접작성 (last updated: 2021.03.12)
[참고자료]
https://en.wikipedia.org/wiki/Radiance
https://en.wikipedia.org/wiki/Irradiance
http://iskim3068.tistory.com/73
블로그의 모든 포스팅은 직접 공부해서 작성한 글입니다.
퍼가실 때는 댓글을 남겨주세요.
더 유익한 포스팅을 작성하는데 큰 힘이 됩니다.
'전자광학' 카테고리의 다른 글
| 복사량과 광량의 변환 관계 (0) | 2021.03.23 |
|---|---|
| 밝기의 단위 - 광량 (Photometry) (3) | 2021.03.20 |
| 입체각 (solid angle) (0) | 2021.03.12 |
| 굴절률 (refractive index) (1) | 2021.03.10 |
| 전자광학 시스템의 광학계 (Optical system) (0) | 2021.03.09 |