전자광학(EO/IR) 영상 센서를 이해하기 위해서는 기하광학 이라는 분야에 대한 이해가 필요합니다.
광학이라고 해서 어려울건 없습니다. 저도 비전공자인만큼 최소한의 것만 알고 넘어갈것이니까요.
기하광학이란 입자로서의 빛의 진행을 기하적으로 연구하는 광학 분야로 빛의 반사나 굴절을 통한 상의 형성과 렌즈/거울을 설계하는데 필요한 학문입니다.
먼저, 가장 쉽고 중요한 빛의 반사와 굴절에 대해 알아봅시다.
반사 (Reflection)
광선(ray)이란 파면에 수직하게 일직선으로 뻗어나가는 매우 작은 빛을 의미합니다.
반사는 파동이 두 매질의 경계에서 방향을 바꿔 진행하는 물리현상으로 빛의 반사는 크게 정반사(specular)와 난반사(diffuse)로 나눌 수 있습니다.
정반사는 거울과 같이 매끈한 면에 빛이 입사했을때 입사각과 동일한 각 방향으로만 반사하는 현상을 뜻하며, 반짝이는 물체의 하이라이트와 같은 반사를 설명합니다.
난반사는 거친 돌과 같이 불규칙한 물체의 면에서 여러 방향으로 반사하는 현상을 뜻하고, 정반사와는 달리 하이라이트 반사가 발생하지 않습니다.
정반사와 난반사는 반사면의 상태에 따라 결정됩니다.
아래 그림을 보겠습니다.

난반사는 표면의 거칠기에 따라 빛이 사방으로 퍼지게 되는데 반사 각도에 따른 반사량을 양방향 반사도 분포함수(BRDF)로 모델링 합니다. 이 함수는 반사하는 표면의 재질에 따라 결정되는 함수입니다. 추후 포스팅에서 다루도록 하겠습니다.
굴절 (refraction)
렌즈를 이해하기 위해서 반드시 알고 넘어가야 하는 굴절은 다른 매질 사이의 경계면에서 빛의 진행방향이 바뀌는 현상을 뜻합니다.
가장 흔하게 볼 수 있는 현상은 아래 그림과 같이 물속에서 빛이 나오면서 굴절되어 보이는 것입니다.

이러한 현상은 아래 그림과 같이 진공에서 진행하는 빛(녹색)이 물을 지나갈때(파란색) 빛의 속도가 느려지면서 진행방향이 굴절되는 것으로 설명할 수 있다.

칸 아카데미(Khan academy)에서는 매질에서의 속도에 따른 굴절을 다음과 같이 이해하기 쉽게 설명하고 있습니다.
도로를 달라던 자동차가 진흙으로 된 땅으로 진입할때 먼저 진흙을 밟게 되는 타이어가 미끄러지기 때문에 속도가 느려지게 되죠. 이 때 상대적으로 속도가 빠른 도로상의 바퀴가 더 많은 거리를 진행하면서 진행 방향이 살짝 틀어져서 바뀌게 됩니다.

마찬가지로 빛도 진행하는 매질에 따라 속도가 달라지기 때문에 굴절이 발생하는 것입니다.
이러한 현상을 Snell의 법칙에서 설명하고 있습니다.



Snell의 법칙에서 볼 수 있듯이 빛이 느린(v) 매질일수록 또는 파장이 짧은(λ) 매질일수록 굴절률(n)이 커지고 이는 법선 방향과의 각이 작아짐을 의미합니다.
굴절률(index of refraction)은 물질 마다의 특성이고, 진공에서의 빛의 속도(약 30만km/sec)를 해당 매질에서의 빛의 속도로 나눈 값으로 계산됩니다. (*자세한 내용은 굴절률 포스팅을 참조 바랍니다.)

그러면 굴절 현상에 의해 물속에 있는 물체는 어떻게 보일까요?
아래 그림과 같이 물고기로부터 나와 관찰자의 눈으로 들어오는 빛은 수면에서 굴절되어 실제로 관찰자의 눈에는 실제 깊이보다 더 얕은 곳에 물고기가 있는 것처럼 보게 된다.

전반사 (Total internal reflection)
전반사는 굴절률이 큰 매질로부터 작은 매질로 빛이 진행할때 입사각 θ가 임계각(critical angle) 이상이 되었을때 경계면에서 빛이 모두 반사되는 현상을 의미합니다.
아래 그림과 같이 입사각이 0도, 20도, 30도 40도까지는 빛의 일부가 공기중으로 굴절되어 나가는 반면 60도 일때는 빛이 모두 반사가 되어 공기중으로 나가지 못하게 됩니다.
이때 모두 반사가 되기 시작하는 각을 임계각(critical angle)이라고 합니다. 아래의 경우에서는 60도가 되겠네요.

광섬유(optical fiber)는 전반사를 이용한 대표적인 예입니다.
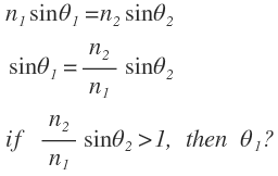
그렇다면 왜 전반사가 일어날까요?
이는 Snell의 법칙으로부터 유추해볼 수 있습니다.

두 번째 식에서 n1, n2에 따라 우변이 1보다 커지는 경우가 발생할 수 있죠. 그러면 좌변의 sinθ1이 1보다 커질 수 없으므로 이 때 전반사가 발생하게 됩니다.
(보다 자세한 내용은 Fresnel equation 포스팅에서 다루도록 하겠습니다.)
분산 (Dispersion)
빛의 분산이란 여러 파장으로 구성된 빛의 파장별 굴절률이 다른 성질을 이용하여 빛을 분리하는 것을 뜻합니다.
파장이 짧을수록 굴절률이 크기 때문에 (파랑: 1.34, 빨강: 1.33) 아래 그림과 같이 파장이 짧은 파란색 빛이 물속에서 더 많이 굴절된다.
비온 뒤 무지개가 보이는 것도 공기 중의 물 분자가 태양광을 파장별로 굴절시켜 빛을 분산하는 원리입니다.

자, 어떠세요? 이제 기하광학의 첫걸음마를 땠습니다.
너무 쉽게 설명해서 그런가, 내용이 쉬워서 그런가 참 쉽게 느껴지지요?
자세히 공부하려고 하면 어려운 내용이지만 전자광학을 이해하기 위해서는 이 정도의 기하광학 수준으로 충분합니다.
관련된 다음 포스팅이 준비되는대로 업로드 하겠습니다.
[함께 읽어보면 좋은 포스팅]
굴절률
Fresnel Equation
[출처] 직접작성 (last updated: 2021.02.23)
[참고자료]
Khanacademy: Geometric optics
https://www.khanacademy.org/science/physics/geometric-optics/modal/v/refraction-in-water
기하광학: http://phya.snu.ac.kr/php/subject_list/Notice/data/1417963785.pdf
블로그의 모든 포스팅은 직접 공부해서 작성한 글입니다.
퍼가실 때는 댓글을 남겨주세요.
더 유익한 포스팅을 작성하는데 큰 힘이 됩니다.
'전자광학' 카테고리의 다른 글
| 전자광학 시스템의 광학계 (Optical system) (0) | 2021.03.09 |
|---|---|
| 전자광학 공부를 위한 광학 기초 - 3. 편광 (0) | 2021.03.05 |
| 전자광학 공부를 위한 광학 기초 - 2. 렌즈 (0) | 2021.02.27 |
| 온도를 가진 것은 에너지를 내뿜는다 - 흑체 복사 (Black body radiation) (2) | 2021.02.03 |
| 전자광학(EO)/적외선 (IR) 스터디 (2) | 2021.02.01 |